»Ê¼ÒRoyal¹ÙÍøÈë¿Ú

¼×¿ÇËØ

¼×¿ÇËØ

  • »Ê¼ÒRoyal88¡¤(¼¯ÍÅ)- ¹ÙÍøµÇ¼Èë¿Ú

»¯Ñ§Ãû³Æ£º¾ÛNÒ»ÒÒõ£ÆÏÌÑÌǰ·

·Ö×Óʽ£º

·Ö×ÓÁ¿£º203¡¤n

CASºÅÂ룺1398-61-4

º£¹ØÉÌÆ·±àÂ룺29329990.99

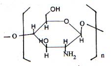
»¯Ñ§½á¹¹£º


ÐÔ×´£º

±¾Æ·Îª×¼°×É«,ÎÞ¶¨ÐΣ¬°ë͸Ã÷¹ÌÌ壬ÎÞº¦£¬ÎÞ³ôÎÞÎÛȾ£¬ÎÞÇÖÊ´£¬²»¿Éȼ£¬²»±¬£¬ÄÜÈÜÓÚº¬8%ÂÈ»¯ï®µÄ¶þ¼×»ùÒÒõ£°·»òŨËᣬ²»ÈÜÓÚË®¡¢Ï¡Ëá¡¢¼î¡¢ÒÒ´¼»òÆäËüÓлúÈܼÁ ¡£ÇкÏWTO(ÌìÏÂÉÌÒµ×éÖ¯) µÄ³ö¿Ú±ê×¼ ¡£±¾²úÆ·ÊÇÌáȡϺ¡¢Ð·¿ÇµÄÏßÐθ߷Ö×Ó¶àÌÇ ¡£¿É×÷ʳÎïÌí¼Ó¼Á¡¢Ò½Ò©ÖÊÁÏ ¡£

ÓÃ;£º

¼×¿ÇËØ£¬Ò»ÖÖÐÂÐÍÉú»¯Ò©Æ·£¬¾ßÓнµÑªÖ¬£¬½µÑªÑ¹£¬½µÑªÌǵÄÌØÊâÉúÎ﹦Ч ¡£ÔÚ¹¤ÒµÉÏ¿É×ö·Ä֯Ʒ·Àùɱ¾ú³ý³ô¼Á ¡£Ò²¿ÉÓ¦ÓÃÓÚȾÁÏ¡¢Ö½ÕźÍË®´¦Öóͷ£µÈ ¡£ÔÚũҵÉÏ¿É×öɱ³æ¼Á¡¢Ö²Î²¡¶¾¼Á ¡£ÓæÒµÉÏ×öÑøÓãËÇÁÏ ¡£»¯×±Æ·ÃÀÈݼÁ¡¢Ã«·¢±£»¤¡¢±£Êª¼ÁµÈ ¡£Ò½ÁÆÓÃÆ·ÉÏ¿É×öÒþÐÎÑÛ¾µ¡¢È˹¤Æ¤·ô¡¢·ìºÏÏß¡¢È˹¤Í¸ÎöĤºÍÈ˹¤Ñª¹ÜµÈ ¡£

°ü×°£º

Ö½°åͰ(36cm x 36cm)ÄÚ³ÄÁ½²ã¾ÛÒÒÏ©±¡Ä¤ËÜÁÏ´ü£¬»òƾ֤¿Í»§ÒªÇó ¡£

Íâ¹Û³ß´ç£º  36cm x 36cm¾»ÖØ£º10.0kgs   Ã«ÖØ£º11.8kgs      ÿ20³ß¹ñ¿É×°5.4¶Ö ¡£

´¢ÔË£º

Öü±£´æ¸ÉÔï¡¢Çå½à,ºÍÒõÁ¹µÄµØ·½ ¡£ÔËÊäʱÇá×°Çáж£¬²»µÃÓëÓк¦¡¢Óж¾ºÍÒ×ÎÛȾÎïÆ·»ìÏý×°ÔË ¡£ÑϽûÁÜÓê ¡£

ÖÊÁ¿Ö¸±ê£º(²ÎÕÕUSP35)

ÆÊÎöÄÚÈÝ

ÖÊÁ¿±ê×¼-¹¤Òµ¼¶

ÖÊÁ¿±ê×¼-ʳÎï¼¶

ÖÊÁ¿±ê×¼-Ò½Ò©¼¶

Íâ¹Û

×¼°×É«ÖÁ΢»ÆÉ«Ë¿×´Îï

×¼°×É«ÖÁ΢»ÆÉ«Ë¿×´Îï

×¼°×É«ÖÁ΢»ÆÉ«Ë¿×´Îï

ÏûÈÚ¶È

²»ÈÜÓÚË®£¬Ï©ËáºÍÓлúÈܼÁ

²»ÈÜÓÚË®£¬Ï©ËáºÍÓлúÈܼÁ

²»ÈÜÓÚË®£¬Ï©ËáºÍÓлúÈܼÁ

ÂѰ×ÖÊ

¼ì²»³ö

¼ì²»³ö

¼ì²»³ö

Ö¬·¾

¼ì²»³ö

¼ì²»³ö

¼ì²»³ö

Ë®·Ý

¡Ü12%

¡Ü10%

¡Ü10%

»Ò·Ý

¡Ü8%

¡Ü2%

¡Ü1%

ÌúÑÎ

¡Ü20ppm

¡Ü20ppm

¡Ü20ppm

ÖØ½ðÊô

¡Ü10ppm

¡Ü10ppm

¡Ü10ppm

ÉéÑÎ

¡Ü0.5ppm

¡Ü0.5ppm

¡Ü0.5ppm

΢ÉúÎï×ÜÊý

¡Ü10000CFU/g

¡Ü1000CFU/g

¡Ü1000CFU/g

½Íĸ¡¢Ã¹¾ú

¡Ü1000CFU/g

¡Ü100CFU/g

¡Ü100CFU/g

´ó³¦¸Ë¾ú

²»µÃ¼ì³ö

²»µÃ¼ì³ö

²»µÃ¼ì³ö

ɳÃÅÊϾú

²»µÃ¼ì³ö

²»µÃ¼ì³ö

²»µÃ¼ì³ö



 

ÍøÕ¾µØÍ¼